Mathos's Avatar

Mathos

@mathos1234.bsky.social

Interested in mathematical and other puzzles. "If you cannot solve the proposed problem do not let this failure afflict you too much but try to find consolation with some easier success, try to solve first some related problem" -- G Polya

54 Followers  |  31 Following  |  20 Posts  |  Joined: 29.12.2024  |  1.9804

Latest posts by mathos1234.bsky.social on Bluesky

Video thumbnail

Carl Sagan when asked, "Are you a Socialist?"

21.04.2025 13:40 โ€” ๐Ÿ‘ 24508    ๐Ÿ” 7334    ๐Ÿ’ฌ 552    ๐Ÿ“Œ 601
Preview
Did You Even Consider Every Possible Lived Experience Before Recklessly Posting Your Chili Recipe on Social Media? Look, I get it. You thought what you posted was innocuous. Still, did you stop to think about everyone who has ever lived and how it could make the...
21.03.2025 14:06 โ€” ๐Ÿ‘ 384    ๐Ÿ” 49    ๐Ÿ’ฌ 5    ๐Ÿ“Œ 2
A text including mathematical expressions

A text including mathematical expressions

Thread (1/5)

This thread shows a neat way of answering a question which comes up in university entrance interviews.

(Apologies for the lack of alt text -- I can't do symbols)

08.01.2025 10:41 โ€” ๐Ÿ‘ 0    ๐Ÿ” 1    ๐Ÿ’ฌ 1    ๐Ÿ“Œ 0
Human vs Machine 2 by Mathos (Sven's SudokuPad v0.587.0)

And one which the computer says can only be solved by brute force. I disagree.

sudokupad.app/bgwryrf3cb

28.02.2025 17:42 โ€” ๐Ÿ‘ 0    ๐Ÿ” 0    ๐Ÿ’ฌ 0    ๐Ÿ“Œ 0
Regions by Mathos (Sven's SudokuPad v0.587.0)

And one with non standard regions

sudokupad.app/l58oja5ymx

28.02.2025 17:42 โ€” ๐Ÿ‘ 0    ๐Ÿ” 0    ๐Ÿ’ฌ 1    ๐Ÿ“Œ 0
Thermometers II by Mathos (Sven's SudokuPad v0.587.0)

And another

sudokupad.app/cosbmua5uy

28.02.2025 17:42 โ€” ๐Ÿ‘ 0    ๐Ÿ” 0    ๐Ÿ’ฌ 1    ๐Ÿ“Œ 0
Thermometers 3 by Mathos (Sven's SudokuPad v0.587.0)

Thread

A few variant sudokus just for fun on Friday!

sudokupad.app/qo60vvqcj7

28.02.2025 17:38 โ€” ๐Ÿ‘ 0    ๐Ÿ” 0    ๐Ÿ’ฌ 1    ๐Ÿ“Œ 0
Post image

"The Creation of Adam"
#mathart #chaos

17.02.2025 19:35 โ€” ๐Ÿ‘ 8    ๐Ÿ” 1    ๐Ÿ’ฌ 1    ๐Ÿ“Œ 0

Old friend just laid off by USDA, 1 mos short of his probationary period as senior researcher. Brilliant person who left a tenured faculty position several yrs ago to join USDA. Bright early-career researchers also being laid off. USDA is terminating a generation of highly-qualified scientists.

17.02.2025 02:17 โ€” ๐Ÿ‘ 20946    ๐Ÿ” 5602    ๐Ÿ’ฌ 792    ๐Ÿ“Œ 260

Yesterday, I said "tomorrow" ... and the answer is a/b/c = 10/2/2025.

10.02.2025 11:13 โ€” ๐Ÿ‘ 0    ๐Ÿ” 0    ๐Ÿ’ฌ 0    ๐Ÿ“Œ 0
โ€œWe Want the Bureaucrats to Be Traumatically Affectedโ€
YouTube video by ProPublica โ€œWe Want the Bureaucrats to Be Traumatically Affectedโ€

Scientists, as well as bureaucrats.

This is the head of OMB, folks. He coauthored Project 2025. This is the playbook we are seeing with the attacks on DEI efforts, on healthcare, on NSF and NIH funding.

They want us out of the way so they can destroy many institutions and resegregate the rest.

08.02.2025 23:50 โ€” ๐Ÿ‘ 385    ๐Ÿ” 157    ๐Ÿ’ฌ 16    ๐Ÿ“Œ 4
Given that a,b,c are natural numbers and
a^(b+1)+b^a+1=c=โˆ‘_1^(a-1)โ–’i
Find the smallest possible values of a/b/c. Answer tomorrow.

Given that a,b,c are natural numbers and a^(b+1)+b^a+1=c=โˆ‘_1^(a-1)โ–’i Find the smallest possible values of a/b/c. Answer tomorrow.

09.02.2025 17:18 โ€” ๐Ÿ‘ 0    ๐Ÿ” 0    ๐Ÿ’ฌ 1    ๐Ÿ“Œ 0

1. From morning EST to evening PST, I receive an email roughly once every three minutes. Overnight the pace slows, but not all that much. If I did nothing but read email and reply 12 hours a day I could probably keep up.

A once-wonderful productivity technology is killing any hope of productivity.

10.01.2025 16:59 โ€” ๐Ÿ‘ 895    ๐Ÿ” 104    ๐Ÿ’ฌ 50    ๐Ÿ“Œ 44

(4/4)

If I were being interviewed, I would feel much safer using the direct approach than the assume and solve approach.

09.01.2025 13:08 โ€” ๐Ÿ‘ 0    ๐Ÿ” 0    ๐Ÿ’ฌ 0    ๐Ÿ“Œ 0
And the equation whose roots are a,b is 
x^2-โˆš24 x+1
So
x=(โˆš24ยฑโˆš(24-4))/2=โˆš6+โˆš5

And the equation whose roots are a,b is x^2-โˆš24 x+1 So x=(โˆš24ยฑโˆš(24-4))/2=โˆš6+โˆš5

(3/4)

09.01.2025 13:08 โ€” ๐Ÿ‘ 0    ๐Ÿ” 0    ๐Ÿ’ฌ 1    ๐Ÿ“Œ 0
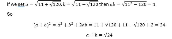
If we set a=โˆš(11+โˆš120) ,b=โˆš(11-โˆš120)  then ab=โˆš(11^2-120)=1
So
ใ€–(a+b)ใ€—^2=a^2+b^2+2ab=11+โˆš120+11-โˆš120+2=24
a+b=โˆš24

If we set a=โˆš(11+โˆš120) ,b=โˆš(11-โˆš120) then ab=โˆš(11^2-120)=1 So ใ€–(a+b)ใ€—^2=a^2+b^2+2ab=11+โˆš120+11-โˆš120+2=24 a+b=โˆš24

(2/4)

09.01.2025 13:08 โ€” ๐Ÿ‘ 0    ๐Ÿ” 0    ๐Ÿ’ฌ 1    ๐Ÿ“Œ 0

PS (1/4)

Here is another example where the direct approach seems far saferโ€ฆ

Simplify

โˆš(11+โˆš120)

09.01.2025 13:08 โ€” ๐Ÿ‘ 0    ๐Ÿ” 0    ๐Ÿ’ฌ 1    ๐Ÿ“Œ 0
A text including mathematical expressions

A text including mathematical expressions

(5/5)

08.01.2025 10:41 โ€” ๐Ÿ‘ 0    ๐Ÿ” 0    ๐Ÿ’ฌ 1    ๐Ÿ“Œ 0
A text including mathematical expressions

A text including mathematical expressions

(4/5)

08.01.2025 10:41 โ€” ๐Ÿ‘ 0    ๐Ÿ” 0    ๐Ÿ’ฌ 1    ๐Ÿ“Œ 0
A text including mathematical expressions

A text including mathematical expressions

(3/5)

08.01.2025 10:41 โ€” ๐Ÿ‘ 0    ๐Ÿ” 0    ๐Ÿ’ฌ 1    ๐Ÿ“Œ 0
I got this asked as a Cambridge interview question and I didn't have a f**** clue
YouTube video by blackpenredpen I got this asked as a Cambridge interview question and I didn't have a f**** clue

(2/5)

Mostly, in the videos I have seen, they do the simplification by assuming the form of the likely answer โ€“ eg that it will be r+sโˆšn for some integers r,s and then solving for these integers.
www.youtube.com/watch?v=naGk...
There is a direct way, which seems neater to meโ€ฆ

08.01.2025 10:41 โ€” ๐Ÿ‘ 0    ๐Ÿ” 0    ๐Ÿ’ฌ 1    ๐Ÿ“Œ 0
A text including mathematical expressions

A text including mathematical expressions

Thread (1/5)

This thread shows a neat way of answering a question which comes up in university entrance interviews.

(Apologies for the lack of alt text -- I can't do symbols)

08.01.2025 10:41 โ€” ๐Ÿ‘ 0    ๐Ÿ” 1    ๐Ÿ’ฌ 1    ๐Ÿ“Œ 0

That may be ok for a conversational partner, but it's a really bad thing for search and retrieval, let alone for conducting scientific analysis.

So yeah, you typed the same query I did and got a different result. That hardly a rousing endorsement of an information system.

31.12.2024 19:39 โ€” ๐Ÿ‘ 169    ๐Ÿ” 8    ๐Ÿ’ฌ 4    ๐Ÿ“Œ 2
A Numerical Mystery From the 19th Century Finally Gets Solved | Quanta Magazine Two mathematicians have proven Pattersonโ€™s conjecture, which was designed to explain a strange pattern in sums involving prime numbers.

Yet more from the @quantamagazine.bsky.social archives: always useful in #cryptography to know more about primes! www.quantamagazine.org/a-numerical-...

31.12.2024 19:26 โ€” ๐Ÿ‘ 6    ๐Ÿ” 2    ๐Ÿ’ฌ 0    ๐Ÿ“Œ 0

Iโ€™ve been thinking about this guyโ€™s post a lot and I think it encapsulates a lot of what disturbs me about GenAI - people keep trying to use it to automate things that are actually important to us as humans (creative thought processes, social interaction) AND

31.12.2024 12:05 โ€” ๐Ÿ‘ 51    ๐Ÿ” 19    ๐Ÿ’ฌ 2    ๐Ÿ“Œ 3

those things also coincidentally tend to be things our society devalues.

Like playing with a 6yo. Listen, that shit is fucking exhausting. This age is peak Needs A Ton Of Stimulation. They want to riff and improv on imaginary narratives. Itโ€™s developmentally normal af. But they need a human.

31.12.2024 12:05 โ€” ๐Ÿ‘ 20    ๐Ÿ” 1    ๐Ÿ’ฌ 1    ๐Ÿ“Œ 0

So it struck me that she enjoyed the โ€œtop hat and shoesโ€ she made WITH HER DAD. It wasnโ€™t about an interest in fashion, it was about her finding a way to play with the toy with her dad. Another human. The social interactions involved in that form of play.

31.12.2024 12:05 โ€” ๐Ÿ‘ 13    ๐Ÿ” 1    ๐Ÿ’ฌ 1    ๐Ÿ“Œ 0
Human vs Machine by Mathos (Sven's SudokuPad v0.572.0)

(5/5)

And it is surprising that a logical step by step solution can be found (by a human, not by the computer) for this one.

Can you find it?

sudokupad.app/s2rj8n1va1

29.12.2024 16:05 โ€” ๐Ÿ‘ 0    ๐Ÿ” 1    ๐Ÿ’ฌ 0    ๐Ÿ“Œ 0

(1/5)

Short thread on Anti-chess sudoku.

In anti-chess sudoku, as well as the normal rules of sudoku, the following constraints must be met:
โ€ข no digit can be a king's move or a knight's move away from another instance of that same digit;
โ€ข consecutive digits must not be orthogonally adjacent.

29.12.2024 16:05 โ€” ๐Ÿ‘ 3    ๐Ÿ” 2    ๐Ÿ’ฌ 1    ๐Ÿ“Œ 0
Preview
What Is Entropy? A Measure of Just How Little We Really Know. | Quanta Magazine Exactly 200 years ago, a French engineer introduced an idea that would quantify the universeโ€™s inexorable slide into decay. But entropy, as itโ€™s currently understood, is less a fact about the world th...

The information version of entropy is very important in cryptography! And the quantum version is becoming steadily more important too.... from @quantamagazine.bsky.social www.quantamagazine.org/what-is-entr...

29.12.2024 19:28 โ€” ๐Ÿ‘ 11    ๐Ÿ” 5    ๐Ÿ’ฌ 0    ๐Ÿ“Œ 0

@mathos1234 is following 20 prominent accounts