Pierre Haas's Avatar

Pierre Haas

@lepuslapis.bsky.social

Research group leader at @mpipks.bsky.social and @mpi-cbg.de. Mechanics, mathematics, and more.

371 Followers  |  286 Following  |  78 Posts  |  Joined: 16.12.2024  |  2.597

Latest posts by lepuslapis.bsky.social on Bluesky

I have very fond memories of fascinating (albeit intimidating) #devbio discussions with John Gurdon @magdalenecollege.bsky.social High Table. He'll be missed!

08.10.2025 08:29 β€” πŸ‘ 2    πŸ” 0    πŸ’¬ 0    πŸ“Œ 0

Inter alia, I will talk about our recent #preprint on "Control of lumen morphology by lateral and basal cell surfaces".

bsky.app/profile/lepu...

08.10.2025 06:35 β€” πŸ‘ 0    πŸ” 0    πŸ’¬ 0    πŸ“Œ 0
Post image

#CellPhysics2025 @uni-saarland.de: looking forward to talking about "Mechanics of Lumina" (*) in the "Cell Collectives" session this morning.

(*) Note the use of the correct plural of "lumen".

08.10.2025 06:35 β€” πŸ‘ 8    πŸ” 1    πŸ’¬ 2    πŸ“Œ 0

On my way to give a seminar @emergencediep.bsky.social, Amsterdam. Looking forward to the visit!

01.10.2025 09:33 β€” πŸ‘ 10    πŸ” 0    πŸ’¬ 0    πŸ“Œ 0

We recently submitted part of her #PhD work, "Elasticity and plasticity of epithelial gap closure" arxiv.org/abs/2509.05110: the summary of some very nice #mechanics is below. Stay tuned for more!

bsky.app/profile/lepuslapis.bsky.social/post/3lycptbyrcs2x

30.09.2025 09:14 β€” πŸ‘ 3    πŸ” 1    πŸ’¬ 0    πŸ“Œ 0
Post image

#proudPI moment: my first #PhD student, Maryam Setoudeh, has just submitted her thesis @tudresden.bsky.social.

30.09.2025 09:14 β€” πŸ‘ 16    πŸ” 0    πŸ’¬ 3    πŸ“Œ 0

Congratulations, Agnes @tothpetroczylab.bsky.social!

30.09.2025 09:09 β€” πŸ‘ 2    πŸ” 0    πŸ’¬ 0    πŸ“Œ 0

Happy birthday!

29.09.2025 09:53 β€” πŸ‘ 1    πŸ” 0    πŸ’¬ 0    πŸ“Œ 0

Apply now for #PhD positions @mpi-cbg.de and in the #biophysics division @mpipks.bsky.social!

25.09.2025 16:09 β€” πŸ‘ 3    πŸ” 0    πŸ’¬ 0    πŸ“Œ 0
Post image

Rainy day @mpi-cbg.de.

25.09.2025 10:34 β€” πŸ‘ 18    πŸ” 1    πŸ’¬ 1    πŸ“Œ 0

Thanks, Markus!

19.09.2025 16:26 β€” πŸ‘ 1    πŸ” 0    πŸ’¬ 0    πŸ“Œ 0
Preview
Tipsy bats and perfect pasta: Ig Nobels celebrate β€˜improbable’ research The annual awards are a celebration of weird but thought-provoking science.

IG Nobel Prize in #Physics 2025 to @mpipks.bsky.social researchers for elucidating the phase behaviour of cacio e pepe sauce. The work highlights how physics can also be applied to solve daily-life problems!

nature.com/articles/d41586-025-03045-0

19.09.2025 13:11 β€” πŸ‘ 45    πŸ” 15    πŸ’¬ 1    πŸ“Œ 5

Thanks, Pavel!

19.09.2025 11:06 β€” πŸ‘ 0    πŸ” 0    πŸ’¬ 0    πŸ“Œ 0
Preview
Peer pressure shapes the gut International research team develops mechanical model to explain the shaping of the fruit fly hindgut by forces from neighbouring tissues

Peer pressure shapes the gut: latest publication in @pnas.org by @lepuslapis.bsky.social, @zhaoshh.bsky.social from @mpipks.bsky.social @mpi-cbg.de @csbdresden.bsky.social with colleagues from @flatironinstitute.org and Princeton University. www.mpi-cbg.de/news-outreac...

19.09.2025 10:29 β€” πŸ‘ 24    πŸ” 7    πŸ’¬ 1    πŸ“Œ 1

This work also reveals the power of serendipity, since our collaboration started when I had dinner with Stas Shvartsman @flatironinstitute.org after his colloquium @mpi-cbg.de because he was stuck in Dresden due to a cancelled flight...

19.09.2025 07:52 β€” πŸ‘ 3    πŸ” 0    πŸ’¬ 1    πŸ“Œ 0

For a great explanation of our work with stunning 3D imagery, peruse the summary by @danielalber.bsky.social:

bsky.app/profile/dani...

19.09.2025 07:52 β€” πŸ‘ 2    πŸ” 0    πŸ’¬ 1    πŸ“Œ 0

Now #published @pnas.org: "A model for boundary-driven tissue morphogenesis", a great #biophysics #devbio collaboration led by @danielalber.bsky.social @zhaoshh.bsky.social:

doi.org/10.1073/pnas.2505160122

@mpipks.bsky.social @mpi-cbg.de @csbdresden.bsky.social @flatironinstitute.org

19.09.2025 07:52 β€” πŸ‘ 38    πŸ” 12    πŸ’¬ 4    πŸ“Œ 0
Video thumbnail

A ring of cells deforms into a triangular keyhole in just 15 minutes. Meet the hindgut, a model for boundary-driven morphogenesis!

Out now in @pnas.org at doi.org/10.1073/pnas... with @zhaoshh.bsky.social, Alex Jacinto, Eric Wieschaus, Stas Shvartsman, @lepuslapis.bsky.social (1/8)

18.09.2025 20:32 β€” πŸ‘ 68    πŸ” 22    πŸ’¬ 3    πŸ“Œ 1
Post image

Bacteria are surrounded by water! New work @natphys.nature.com by @ricardalert.bsky.social @mpipks.bsky.social & collaborators @ Princeton University shows that water capillary forces organise bacterial colonies into gas, nematic streams, and droplet states.

nature.com/articles/s41567-025-02965-y

16.09.2025 18:03 β€” πŸ‘ 22    πŸ” 9    πŸ’¬ 2    πŸ“Œ 0
Graphic with a blue background and light green dots. The text 'call for applications' appears in green, and 'Ausschreibung' in white. A white arrow on the right points diagonally upward.

Graphic with a blue background and light green dots. The text 'call for applications' appears in green, and 'Ausschreibung' in white. A white arrow on the right points diagonally upward.

Early-career researchers: want to run your own lab? 🌟Max Planck Research Groups offer 6+ years, up to €2.7M in funding, open-topic freedom, team support & tenure-track opportunities. Intrigued? πŸ˜ƒApply by Oct 14, 2025! www.mpg.de/max-planck-r...

15.09.2025 09:26 β€” πŸ‘ 92    πŸ” 100    πŸ’¬ 0    πŸ“Œ 4

Amazing opportunities to start your own research group!

10.09.2025 12:14 β€” πŸ‘ 6    πŸ” 1    πŸ’¬ 0    πŸ“Œ 0
Post image

Become a Theory Fellow at Janelia.

πŸ” Use computation & theory to tackle biological problems.
πŸ–₯️ Leverage state-of-the-art computational infrastructure
🀝 Collaborate across scientific disciplines

Apply by Nov. 3 @ https://janelia.link/theoryfellowprogram

09.09.2025 15:00 β€” πŸ‘ 19    πŸ” 11    πŸ’¬ 0    πŸ“Œ 0

Thanks Pavel!

08.09.2025 08:15 β€” πŸ‘ 0    πŸ” 0    πŸ’¬ 0    πŸ“Œ 0
Post image

We also discover an emergent contribution of an inhomogeneous cable to the dynamics of gap closure. Our work thus explains the mechanical roles of tissue fluidisation and cable inhomogeneities in Tribolium serosa closure and processes of epiboly and wound healing more generally.

08.09.2025 07:50 β€” πŸ‘ 0    πŸ” 0    πŸ’¬ 1    πŸ“Œ 0
Post image

Strikingly, very different macroscopic intercalation dynamics arise in the obvious limits: in a fluidised tissue, cells deintercalate from the gap edge into the tissue bulk, while they intercalate into the gap if the energy barrier to intercalations is high.

08.09.2025 07:50 β€” πŸ‘ 0    πŸ” 0    πŸ’¬ 1    πŸ“Œ 0
Post image

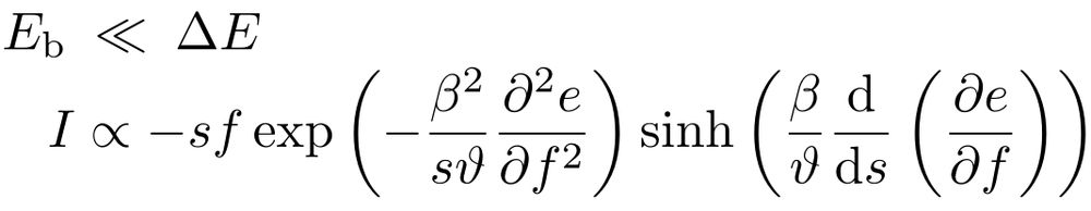
We combine an elastic sheet theory for the tissue with a coarse-grained model of the intercalations to show how the macroscopic dynamics of gap closure depend on the microscopic details of the energy barrier to intercalations.

08.09.2025 07:50 β€” πŸ‘ 0    πŸ” 0    πŸ’¬ 1    πŸ“Œ 0
Preview
Regionalized tissue fluidization is required for epithelial gap closure during insect gastrulation - Nature Communications The mechanics of embryonic tissue spreading over spherical eggs is not fully understood. Here, the authors show that during gastrulation in the red flour beetle, extraembryonic tissue epiboly is facil...

Our work is motivated by Tribolium serosa closure, a particularly simple instance of epithelial gap closure:

nature.com/articles/s41467-020-19356-x

@akanksha-jain.bsky.social @paveltomancak.bsky.social discovered tissue fluidisation near the gap and inhomogeneities of the contracting cable.

08.09.2025 07:50 β€” πŸ‘ 3    πŸ” 1    πŸ’¬ 1    πŸ“Œ 0
Post image

Epithelial gap closure is a key tissue movement during #development, needing cell rearrangements at the gap edge. To understand the interplay of these plastic cell intercalations with the tissue elasticity, we study a minimal model of a circular gap bounded by a contractile cable in a flat tissue.

08.09.2025 07:50 β€” πŸ‘ 0    πŸ” 0    πŸ’¬ 1    πŸ“Œ 0
Post image

Another #preprint: "Elasticity and plasticity of epithelial gap closure", from the #PhD work of Maryam Setoudeh:

arxiv.org/abs/2509.05110

This one required a lot of (I think) beautiful #mechanics!

@mpipks.bsky.social @mpi-cbg.de @csbdresden.bsky.social

08.09.2025 07:50 β€” πŸ‘ 35    πŸ” 8    πŸ’¬ 1    πŸ“Œ 2

New preprint on MDCK cysts and lumen mechanics. #EpithelialMechanics
Check out @lepuslapis.bsky.social fantastic Skythread:
bsky.app/profile/lepu...

05.09.2025 13:49 β€” πŸ‘ 4    πŸ” 1    πŸ’¬ 0    πŸ“Œ 0

@lepuslapis is following 20 prominent accounts