ぼっち大好き's Avatar

ぼっち大好き

@rusaruka.bsky.social

絵とプログラム(C言語)を書いています。本業は全然関係ないものです。MIDIシーケンサーソフト「世界樹」を製作。会社が忙しいのと会社が往復4時間かかるので、ミニマリスト×FIRE目指しています。

19 Followers  |  12 Following  |  99 Posts  |  Joined: 13.02.2024  |  1.5565

Latest posts by rusaruka.bsky.social on Bluesky

文字化けしているもの:

魔法少女・顔法少女 %E9%AD%94 U+9B54 %E9%A1%94 U+9854 éŃĶæ³ķ 00 E9 8F

UTF-8の0xADは0x143にエンコード、0x143はUTF-8の0xADにデコードするという例外が1文字あった(理由不明、特にこの文字だけ特殊なわけでもあるまい)。まどマギテストで魔法少女の魔の字が謎UTF-8エンコーディングで2バイト目がこの文字に当たっていました。Ńがそれほど特殊とは思えないですが、謎UTF-8エンコードがそういう仕様。

10.04.2025 14:37 — 👍 1    🔁 0    💬 0    📌 0

最近主流の、謎UTF8エンコーディングの実装終了。
Input:
ぼっちが好きな人は、なぜぼっちが好きなのですか。
Encode:
109416:ãģ¼ / 120240:ãģ£ãģ¡ / 29295:ãģĮ / 53901:好 / 112495:ãģįãģª / 116537:人ãģ¯ / 124563:ãĢģãģª / 112371:ãģľ / 109416:ãģ¼ / 120240:ãģ£ãģ¡ / 29295:ãģĮ / 53901:好 / 112495:ãģįãģª / 16144:ãģ® / 112130:ãģ§ãģĻãģĭ / 1811:ãĢĤ

10.04.2025 14:28 — 👍 0    🔁 0    💬 0    📌 0
Post image

2025年年賀絵です。コピック。

10.04.2025 13:41 — 👍 2    🔁 0    💬 0    📌 0
Post image

C言語とアセンブラで7B自作しました。JSONパーサとSafetensorsパーサも自作です。matmulの行方向はOpenMPで並列化、列方向はAVX2のvfmadd231psで並列化し、すべてfloat32で、Core-i9で2トークン/秒ぐらいです。Visual Studioを2つ起動しているのでメモリは50GBぐらい使っています。

02.01.2025 12:35 — 👍 3    🔁 0    💬 0    📌 0
Post image

これは、とても昔のもので、小学生や中学生のころ、ノートに採譜したRPGの楽譜です。MIDIデータ化した現在、このノートはミニマリストとして不要なものとして写真だけ取って捨ててしまいましたが、1冊ぐらい記念に取っておけばよかったのかもしれません。パソコンがない時代でも、MIDIがない時代でも、C言語の存在すら知らない時代でも、わたしは美しいRPGの曲に感動しそれを書き留めつづけていました。あれから30年以上の時を経て、MIDIシーケンサー『世界樹』ができたのです。

24.12.2024 14:54 — 👍 0    🔁 0    💬 0    📌 0

MIDIシーケンサー『世界樹』の一番のお気に入りは、MIDIデータの演奏をさせっぱなしでの状態で、すべての入力操作・編集操作(元に戻る・やり直しも含む)・保存・開くが可能な点です。通常のソフトウェアは何かするのにいったん演奏や再生を停止させる必要がありますが、その面倒さが嫌だったのです。さらにこのソフトは複数のMIDIファイルを開けるのですが、それも演奏させっぱなしで操作できるのです。演奏対象は現在アクティブなドキュメントとなります。まるで本物のRPGをやっているかのようなシームレスな曲作り体験あるいは連続演奏体験ができます。

24.12.2024 14:48 — 👍 2    🔁 0    💬 0    📌 0

ハッカーの書には、ハッカーになるためには「お金」「名誉」「SEX」を放棄せよと書いてあります。お金は生きていくうえで最低限必要な程度とパソコン代と電気代は認めています。また、フルスクラッチを推奨しており、その入門としてHTML手書きをして個人サイトを持つことを推奨しています。あとは読書と作文と音楽と座禅をしなさいと書いてあります。わたしは全然ハッカーではありませんが、ミニマリストっぽいのとフルスクラッチ好きのためか、なんとなくこれに近い状態です。

24.12.2024 14:37 — 👍 0    🔁 0    💬 0    📌 0

わたしの知る限りの情報ですと(違ってたらごめんなさい)、
Intel=AVX512は家庭用CoreシリーズではサポートせずAVX2までとする。必要な方は業務用のを。
AMD Ryzen第3世代=AVX512はサポートせずAVX2まで。
AMD Ryzen第4世代=AVX512を疑似サポートする。ただし内部レジスタは256bitなのでエミュレーションで、AVX2と同じ速さらしい。
AMD Ryzen第5世代(9700,9900,9950等)=AVX512をサポートする。内部レジスタは本物の512bitで、たぶん家庭用では初です。

24.12.2024 14:01 — 👍 0    🔁 0    💬 0    📌 0

わたしはLED照明を買うとき、シーリングライトは明るさをちらつきで調整していることを知り、ものによっては目視でわかるほどひどかったり、ビデオで見ると分かるほどひどいものもあるため、目と体に良くないと思い、LED電球3玉式+常夜灯のもので、電球を何個つけるかひもで引っ張って選べるのを買いました。ミニマリストとしては、ペンダント式なので天井付けシーリングに比べスリムではありませんが、外見がかわいかったので良いものとしております。常夜灯も電球も好きな明るさ・色調が選べるので、良かったです。

15.12.2024 04:57 — 👍 0    🔁 0    💬 0    📌 0

統計によると、正社員フルタイム勤務でも、年収が100万円以下、あるいは200万円以下の人がそれなりにいますね。生活保護以下のお給料では非常に厳しいと思います。この層はだいたい建設・土木・福祉・介護系のハードワークですね。負の所得税を設けるか、最低賃金を1500円ぐらいにする必要がありますね。ただ、最低賃金なんて守っているのは時給制のバイトのみで、正社員は、計算しないと換算時給が算出できないので(簡単なので電卓ですぐ出ますが)守っているところはほとんどないです。

15.12.2024 04:49 — 👍 0    🔁 0    💬 0    📌 0

ぼっちが大好きだと、「メンタルが強そうに見える」「自信がありそうにみえる」と言われますが、実はそうではなく、その方が快適だからそうしているだけであって、メンタルが強いわけでもなく自信があるわけでもありません。

10.11.2024 12:26 — 👍 0    🔁 0    💬 0    📌 0

一番近いことわざは「深い川は静かに流れる 」ですね。まさにユングの内向的感情Fiを表すものですが、このことわざはマイナー過ぎて誰も使わないですね。

10.11.2024 12:22 — 👍 0    🔁 0    💬 0    📌 0

わたしの好きな言葉「狭く、深く。」 一般論ばかりでなく、ミニマリスト的にも良いですね。とても内向的な人はだいたい狭くて深いみたいです。でもこんな言葉が褒められることはないです。「広く、浅く。」という言葉は大人気ですが。

10.11.2024 12:17 — 👍 2    🔁 0    💬 0    📌 0

RTX4060ti(16GB)は、小型で、7万円と安価で、165Wと省エネなので人気があり、在庫も十分ですね。若干遅いとはいえ、単にVRAMが16GB欲しいという用途ならコスパ良さそうです。超小型ミニタワーにも入るので置場の問題もなく、かわいいのが作れそうです。ただし、AI派にとっては、7Bのモデルが限度なことを覚悟しなければなりません。

10.11.2024 11:02 — 👍 0    🔁 0    💬 0    📌 0

トマトの自家栽培も昔検討しましたが、あきらめまた。会社がブラックで週休1日であり、疲れすぎて休日は掃除洗濯と16時間睡眠なので管理しきれない、会社に行っていて水やりや日よけがリアルタイムでできない、狭くて置場がないです。市町村では土の回収はしないとのこと、土の廃棄費用を聞いたら、5kg当たり1万円の見積で、年間処分費が高い、結局トマトを買った方が安くて睡眠時間が確保できるんです。もしホワイト企業なら趣味と実益にできますね。

10.11.2024 10:25 — 👍 0    🔁 0    💬 0    📌 0

どこの店も、きゅうり1本100円💦、トマト1個200円💦で、高くて買えませんでした。

10.11.2024 07:30 — 👍 0    🔁 0    💬 0    📌 0

それでは、みんなしてこの方法を使うとみんながプラス運用かというと、振動する振り子からエネルギーを抽出しようとするとダンパー効果が働き振動しなくなってくるのと同様に、株の成長要素を除きゼロ運用になるという仕組みです。しかし現実には短期売買をする人が多く、あるいは年初一括買いをする人が多く、みんなが毎日買いのドルコスト平均法を好むわけではありませんし、リーマンショックも発生しますので、ある程度は有用です。わたしは錬金術などないと思っていましたが、この式は熱力学第二法則でタービンを回す人がいる限り錬金できるということを示しています。

03.11.2024 11:04 — 👍 0    🔁 0    💬 0    📌 0
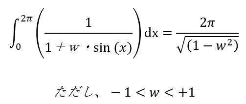
Post image

株価の振動エネルギーからお金を抽出する錬金術:
この式は、ドルコスト平均法で正の値(1+w*sin(x))で単振動する投資信託を微小時間あたり1dx円ずつ購入した場合、1周期経過後には、2π円の購入コストがかかっているが、実際には 2π/(√(1−w^2))円の評価額になっており、実際にはプラス運用になることを示します。株価がフーリエ級数だと仮定すると、株価が上昇せずボックス相場であったとしても、プラス運用になります。ただし、1周期の途中で取りやめた場合は除外。w=株価に対する振幅比は大きい方が効果が高く、例えばリーマンショックのような50%を経験した後の評価額は、2/(√3)倍になります。

03.11.2024 10:59 — 👍 0    🔁 0    💬 0    📌 0

昔は、この世の四大元素は火・風・水・土であり、真空中をエーテルが満たしていると考えられました。この構成はファイナルファンタジーなど多くの作品で採用されています。しかし、現実には、化学本の裏表紙に記載された元素記号であり、エーテルは相対性理論により否定されました。ところがよく考えてみると、火・風・水・土は、プラズマ・気体・液体・固体の四大状態を表しているうえに、エーテルは光子かヒッグス粒子に対応しており、古代人の考えは案外的を得ているなあと思いました。

03.11.2024 10:40 — 👍 1    🔁 0    💬 0    📌 0

「ときどき理屈に合わないことをするのが人間なのよ」というセリフがありますが、あなたは当てはまりますか? もし、既にお手持ちの株を、非課税の新NISA枠に移動していないのであれば、とても非論理的ですが、それでいいのだと思います。含み益バリアのもたらす安心感という気持ちの方が、税金がかからないという理屈よりも重要だというのが、内向的感情Fiですから。

03.11.2024 10:23 — 👍 0    🔁 0    💬 0    📌 0

わたしは、内向的すぎるだけでなく、熱量の低さが特徴的です。たとえ好きなことをしていても、淡々としており、熱意が感じられないし、最大出力値がとても低いし、うれしくても感情表現しないので「そういうときはガッツボーズをするもんだよ」と言われ、実際の体表面温度も低いです。小食で、性欲、社会的地位の欲もない。ここも承認欲求ではなく自己分析のために使っている。生きるためにお金は必要なので、FIRE欲だけはあります。それでも心の中に感情はいっぱいあるんです。

03.11.2024 10:20 — 👍 0    🔁 0    💬 0    📌 0

もしわたしがぼっちが大好きでなかったら、選択的夫婦別姓が重要になります。なぜなら、多くの人の論文や免許が、日本国内ではなんとかなるかもしれませんが、外国では無効になってしまい、まだお金がたまっていないのに強制FIREとなるからです。わたしは、外国に行く予定もないし、会社は論文や免許を使わないところだし、ぼっちが大好きだから、本当に「たまたま」逃れているに過ぎないのです。インターネットが普及し、若者ほど外国の仕事をする可能性が高い今後、それが理由で結婚したいのにしなかった人生というのもつらいと思います。

29.10.2024 14:31 — 👍 0    🔁 0    💬 0    📌 0

汚部屋とかごみが天井にあふれているのって、片付けたくない理由が「虫が出てきて服の中に入ってくるから」というのがありました。なるほどなあと思いました。わたしは少し昔、建設現場では雑草の多い場合や、ぼっち用の仮設トイレの中は「虫が飛んでて服の中に入ってくるよ」とどこかで言ったような気がするのです。わたしも虫が嫌いですが、仕事なので仕方ないです、もっと嫌いな人もいます。Gは特にです。そのためにも、やはりミニマリストっぽく生きるのが良さげです。

29.10.2024 13:57 — 👍 0    🔁 0    💬 0    📌 0

汚部屋とかごみが天井まであふれているのって、会社が忙しくて疲れていて、ごみ処理に手が回らなくなったり、ゴミ出しの時間は会社に行っていていないので出せなかったりするのが原因なので、本人の性格とか責任とかではすまない話で、FIREしない限り解決しない気がします。エッセンシャルワーカーで休めない職業に多いです。外国では家が広かったりハウスキーパー頼むぐらいのお給料は出るそうですが、日本は家が狭く年収300万円も出ません。わたしも一歩油断すればそっち側です。だからミニマリストっぽいぐらいで、ちょうどよい物の量になるんです。

27.10.2024 12:28 — 👍 0    🔁 0    💬 0    📌 0
Post image

フリーでオープンソースのMIDIシーケンサーソフト『世界樹8.2』リリースしました。SMF保存時にTime+の適用がおかしくなるバグ修正。Windows7/8.1/10/11、64bit、Unicode、日本語・英語・中国語対応、演奏しながらの入力・編集・保存に対応、ステップ入力・チャンネル別同時リアルタイム入力対応、世界樹(*.skj), スタンダードMIDIファイル(*mid), Cherry(*chy), 旧Cakewalk(*wrk), MIDICSV(*csv)対応。https://openmidiproject.opal.ne.jp/

27.10.2024 12:02 — 👍 2    🔁 0    💬 0    📌 0

そういえば、選挙に行かない理由として、「友達が一緒に行ってくれないから」というのがあって、なるほどなあと思った。選挙はぼっちで行くものだと思っていたので……。ぼっちで選挙に行くのは、ぼっちでディズニーランドに行くのと同じぐらい、耐えられないのだとか……。

27.10.2024 11:56 — 👍 0    🔁 0    💬 0    📌 0
Post image

FIRE方程式(グラフは昔の投稿参照)。

これの特徴的なのは、従来型4%運用固定方式と違い、FIRE前のアセットアロケーションとFIRE後のアセットアロケーションに応じてより柔軟に運用効率を設定できることです。

今数式をあらためてみると、N(苦痛な労働年数)がLossに見え、p,q,sに勾配があるように見えてしまうのです。

なんだか、FIREオタクとAIオタクという関係ない話が急につながってきて面白いです。

27.10.2024 09:47 — 👍 0    🔁 0    💬 0    📌 0
Post image

25年の開発歳月を感じる、ソースコードの量に感無量です。本当に作り始めたときは、スケッチブックで、ピアノロールウィンドウしかなくて、想いだけはあったけど実現するはずもないと思っていて、それが今は目の前にあって……。でもその前に別ソフトで何度も他の失敗作を作っていて、1つのexeと複数のdllに分けて独立させる必要性、C言語でも構造体を使ってオブジェクト指向っぽく書く方法(例:FILE型に準ずる)、関数の配置と命名規則が整然としていることなど、当時はインターネットが家になかったので本がいっぱいでした。↓Window98の頃の『世界樹』の外観です。

25.10.2024 14:10 — 👍 2    🔁 0    💬 0    📌 0
Post image

MIDIシーケンサーソフト『世界樹』は、シンプルに見えてソースコードは結構大規模なので、フルコンパイルとフルビルドに19分かかるんです。しかもGUI本体だけでサテライトdllやベースのdllは別です。でもなかなか面白いんですよ。オープンソースとは言え、ぼっちで脳内設計書型式開発って、どこまで大きくできるんだろう。ちな、普段は変更のあったファイルだけコンパイル・ビルドするから1分なんです。バグ報告くれた方ありがとうございました。

25.10.2024 13:49 — 👍 3    🔁 0    💬 0    📌 0

ぼっち論。ぼっちが大好きなのかもしれないし、ぼっちは嫌いだけど話題や価値観が合わないのでぼっちにならざるを得ないのかもしれない。または、鼻炎やアトピーや容姿や歯並びや小食の問題を抱えていてぼっちにならざるを得ないのかもしれない。全部かもしれない。

22.10.2024 10:25 — 👍 0    🔁 0    💬 0    📌 0

@rusaruka is following 12 prominent accounts