Gov. Bob Ferguson's Avatar

Gov. Bob Ferguson

@governorferguson.bsky.social

25,274 Followers  |  146 Following  |  899 Posts  |  Joined: 20.01.2025  |  2.2193

Latest posts by governorferguson.bsky.social on Bluesky

Today is an opportunity to give our thanks to the providers and workers in our health care system serving rural Washington.

21.11.2025 04:39 β€” πŸ‘ 39    πŸ” 3    πŸ’¬ 0    πŸ“Œ 0

However, rural communities face significant challenges when it comes to accessing health care. I recently submitted a bipartisan plan for the federal Rural Health Transformation Program to invest $1 billion across 5 years in rural health care.

21.11.2025 04:39 β€” πŸ‘ 41    πŸ” 4    πŸ’¬ 1    πŸ“Œ 0

Today is Rural Health Day in Washington.

More than 1 million Washingtonians live in our rural counties. Rural Washington is also home to some of the best agriculture and most beautiful landscapes in the world. It’s a great place to live and work.

21.11.2025 04:39 β€” πŸ‘ 72    πŸ” 9    πŸ’¬ 4    πŸ“Œ 0
Preview
Husky women’s soccer advance to Sweet 16 The Husky women's soccer team continued their incredible season with an overtime win over Arkansas and are marching on to the Sweet 16 for the first time since 2021.

Onto the Sweet 16!Β 

ESPN's Paddy Foss: β€œQuite frankly the Washington women’s soccer team has to be the best story in sports right now."

21.11.2025 00:47 β€” πŸ‘ 94    πŸ” 9    πŸ’¬ 0    πŸ“Œ 0
Post on Truth Social from Donald Trump: "SEDITIOUS BEHAVIOR, punishable by DEATH!"

Repost of another post reading: "HANG THEM GEORGE WASHINGTON WOULD !!"Β 

Post on Truth Social from Donald Trump: "SEDITIOUS BEHAVIOR, punishable by DEATH!" Repost of another post reading: "HANG THEM GEORGE WASHINGTON WOULD !!"Β 

The president is clearly unwell. As an American, I find it hard to believe that our president speaks in this way.

20.11.2025 23:52 β€” πŸ‘ 259    πŸ” 52    πŸ’¬ 28    πŸ“Œ 4
Excerpt of proclamation:

WHEREAS, on November 11, 2025, the Olympic Pipeline was shut down following the
discovery of a fuel release in Snohomish County to the east of Everett, resulting in the cessation
of normal pipeline operations throughout Western Washington; and
WHEREAS, the pipeline shutdown has created a disruption to the state’s primary fuel
distribution system, with an unknown timeline for restoration, and state and federal partnersβ€”
including the Washington State Department of Commerce, Washington Utilities and
Transportation Commission, the Washington State Department of Ecology; and the U.S.
Environmental Protection Agencyβ€”are directly responding to and investigating the spill; and
WHEREAS, ongoing coordination with the fuel industry, distributors, and the Ports of
Vancouver, Tacoma, Seattle, and other critical infrastructure partners indicates that current fuel
supplies remain adequate and no immediate distribution impacts have been reported; and
WHEREAS, Seattle-Tacoma International Airport (SeaTac Airport), which relies directly on
Olympic Pipeline deliveries, has implemented operational adjustments to incoming flights
beginning the morning of November 12, 2025, and currently has limited fuel on hand to sustain
operations; and
WHEREAS, SeaTac Airport has indicated that if fuel deliveries via the Olympic Pipeline cannot
resume by Saturday evening, November 22, 2025, airport operations will be significantly
affected due to federally mandated fuel-management requirements; and
WHEREAS, the potential for significant disruption to fuel supply for transportation, emergency
response, and aviation operations constitutes a threat to the life, health, property, and economic
stability of the people of Washington State, and constitutes a public emergency necessitating
immediate action; and
WHEREAS, the efficient transportation of jet fuel is essential to protect public safety, and
maintain the continuity of critical infrastructure; and

Excerpt of proclamation: WHEREAS, on November 11, 2025, the Olympic Pipeline was shut down following the discovery of a fuel release in Snohomish County to the east of Everett, resulting in the cessation of normal pipeline operations throughout Western Washington; and WHEREAS, the pipeline shutdown has created a disruption to the state’s primary fuel distribution system, with an unknown timeline for restoration, and state and federal partnersβ€” including the Washington State Department of Commerce, Washington Utilities and Transportation Commission, the Washington State Department of Ecology; and the U.S. Environmental Protection Agencyβ€”are directly responding to and investigating the spill; and WHEREAS, ongoing coordination with the fuel industry, distributors, and the Ports of Vancouver, Tacoma, Seattle, and other critical infrastructure partners indicates that current fuel supplies remain adequate and no immediate distribution impacts have been reported; and WHEREAS, Seattle-Tacoma International Airport (SeaTac Airport), which relies directly on Olympic Pipeline deliveries, has implemented operational adjustments to incoming flights beginning the morning of November 12, 2025, and currently has limited fuel on hand to sustain operations; and WHEREAS, SeaTac Airport has indicated that if fuel deliveries via the Olympic Pipeline cannot resume by Saturday evening, November 22, 2025, airport operations will be significantly affected due to federally mandated fuel-management requirements; and WHEREAS, the potential for significant disruption to fuel supply for transportation, emergency response, and aviation operations constitutes a threat to the life, health, property, and economic stability of the people of Washington State, and constitutes a public emergency necessitating immediate action; and WHEREAS, the efficient transportation of jet fuel is essential to protect public safety, and maintain the continuity of critical infrastructure; and

Excerpt:

WHEREAS, this proclamation will enable the delivery of jet fuel that is needed to maintain
adequate fuel supply at SeaTac Airport;
NOW, THEREFORE, I Bob Ferguson, Governor of the state of Washington, as a result of the
above-noted situation and under Chapters 38.52 and 43.06 RCW, do hereby proclaim that a State
of Emergency exists in the state of Washington, and direct the plans and procedures in the
Washington State Comprehensive Emergency Management Plan be implemented. State agencies
and departments are directed to utilize state resources in accordance with the Washington State
Comprehensive Emergency Management Plan and to do everything reasonably possible to assist
affected political subdivisions in an effort to respond to and recover from the incident.
I also find, based on the above situation, that motor carriers and drivers of commercial motor
vehicles delivering jet fuel products from distribution centers in support of SeaTac Airport are
providing emergency relief during an emergency under 49 CFR Β§ 390.23. Pursuant to 49 CFR Β§
390.23(b), they are therefore exempt, for fourteen (14) days from the date of this Proclamation,
from the application of 49 CFR Parts 390 through 399 as those regulations apply to fuel delivery
to SeaTac Airport, including the driver hours of service rules in 49 CFR Β§ 395.
I hereby waive and suspend, for thirty (30) days from the date of this Proclamation, the
restrictions established under RCW 46.32.020 and WAC 446-65-010. This finding and waiver
remains in effect until rescinded or superseded, or until the Olympic Pipeline has resumed
operations and fuel supply conditions have stabilized.
FURTHERMORE, under the provisions of RCW 43.06.220(l)(h), to preserve and maintain life,
health, property, or the public peace, the above exemption and waiver is conditioned on the
following temporary prohibitions on motor carriers and drivers of commercial motor vehicles:

Excerpt: WHEREAS, this proclamation will enable the delivery of jet fuel that is needed to maintain adequate fuel supply at SeaTac Airport; NOW, THEREFORE, I Bob Ferguson, Governor of the state of Washington, as a result of the above-noted situation and under Chapters 38.52 and 43.06 RCW, do hereby proclaim that a State of Emergency exists in the state of Washington, and direct the plans and procedures in the Washington State Comprehensive Emergency Management Plan be implemented. State agencies and departments are directed to utilize state resources in accordance with the Washington State Comprehensive Emergency Management Plan and to do everything reasonably possible to assist affected political subdivisions in an effort to respond to and recover from the incident. I also find, based on the above situation, that motor carriers and drivers of commercial motor vehicles delivering jet fuel products from distribution centers in support of SeaTac Airport are providing emergency relief during an emergency under 49 CFR Β§ 390.23. Pursuant to 49 CFR Β§ 390.23(b), they are therefore exempt, for fourteen (14) days from the date of this Proclamation, from the application of 49 CFR Parts 390 through 399 as those regulations apply to fuel delivery to SeaTac Airport, including the driver hours of service rules in 49 CFR Β§ 395. I hereby waive and suspend, for thirty (30) days from the date of this Proclamation, the restrictions established under RCW 46.32.020 and WAC 446-65-010. This finding and waiver remains in effect until rescinded or superseded, or until the Olympic Pipeline has resumed operations and fuel supply conditions have stabilized. FURTHERMORE, under the provisions of RCW 43.06.220(l)(h), to preserve and maintain life, health, property, or the public peace, the above exemption and waiver is conditioned on the following temporary prohibitions on motor carriers and drivers of commercial motor vehicles:

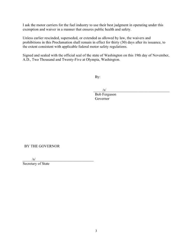
I ask the motor carriers for the fuel industry to use their best judgment in operating under this
exemption and waiver in a manner that ensures public health and safety.
Unless earlier rescinded, superseded, or extended as allowed by law, the waivers and
prohibitions in this Proclamation shall remain in effect for thirty (30) days after its issuance, to
the extent consistent with applicable federal motor safety regulations.
Signed and sealed with the official seal of the state of Washington on this 19th day of November,
A.D., Two Thousand and Twenty-Five at Olympia, Washington.

I ask the motor carriers for the fuel industry to use their best judgment in operating under this exemption and waiver in a manner that ensures public health and safety. Unless earlier rescinded, superseded, or extended as allowed by law, the waivers and prohibitions in this Proclamation shall remain in effect for thirty (30) days after its issuance, to the extent consistent with applicable federal motor safety regulations. Signed and sealed with the official seal of the state of Washington on this 19th day of November, A.D., Two Thousand and Twenty-Five at Olympia, Washington.

We are in close communication with our state and federal partners on the Olympic Pipeline shutdown.

This emergency declaration will help Sea-Tac Airport maintain its fuel supply while the pipeline is offline and limit disruptions to travelers.

20.11.2025 22:55 β€” πŸ‘ 50    πŸ” 8    πŸ’¬ 1    πŸ“Œ 0

Last year, the deck hire retention rate for our ferry system was 66%.

It’s now 92%.

We’re building new boats, adding sailings, and addressing staffing challenges. Our investments are paying off.

20.11.2025 18:43 β€” πŸ‘ 132    πŸ” 8    πŸ’¬ 5    πŸ“Œ 0
Post image

Today, Washington honors the transgender lives we have lost to hate-crimes and violence. Our state continues to work to be a place where every trans person can live safely and without fear. @governorferguson.bsky.social

20.11.2025 16:58 β€” πŸ‘ 118    πŸ” 17    πŸ’¬ 2    πŸ“Œ 1

I recently signed an executive order requiring state government to take a number of measures to engage with Tribes and to establish Tribal consultation policies.

We're committed to working with Washington’s tribes.

20.11.2025 02:24 β€” πŸ‘ 58    πŸ” 3    πŸ’¬ 0    πŸ“Œ 0
Bob standing talking with 2 other people

Bob standing talking with 2 other people

Bob shaking hands with another person

Bob shaking hands with another person

Bob taking a selfie with another person

Bob taking a selfie with another person

Thanks to the Muckleshoot Indian Tribe for hosting me alongside tribal leaders from across the country during the National Congress of American Indians 82nd annual convention.

20.11.2025 02:24 β€” πŸ‘ 114    πŸ” 8    πŸ’¬ 1    πŸ“Œ 0
Preview
WSAC launches new FAFSA advisory board to boost student aid completion statewide WSAC launches new FAFSA advisory board to boost student aid completion statewide

I’m grateful to UW student Sienna and our entire FAFSA advisory board for their work.

Whether it’s for an apprenticeship, certificate program, or college, we want students and parents to take advantage of this money.

20.11.2025 00:27 β€” πŸ‘ 55    πŸ” 7    πŸ’¬ 3    πŸ“Œ 1
Preview
When Trump doubled down, courts and WA governor rallied for food benefits | Editorial State leaders and judges acted boldly to protect our most vulnerable residents from the federal administration's intention to turn off food benefits.

Donald Trump fought hard to keep food from hungry families.

Washington state came together and fought hard to win in court, distribute SNAP funds, and support our food banks.

Thank you to our teams that worked long hours to get benefits and support to Washingtonians.

19.11.2025 21:24 β€” πŸ‘ 137    πŸ” 27    πŸ’¬ 6    πŸ“Œ 1

The Ballmer Group’s investment sets up an innovative public-private partnership, and will transform the lives of thousands of little Washingtonians and their families. Thank you to the Ballmer Group for stepping up for our kids.

19.11.2025 17:52 β€” πŸ‘ 21    πŸ” 3    πŸ’¬ 1    πŸ“Œ 0

We’re facing significant budget challenges in our state, compounded by billions of dollars in cuts from the federal government. Earlier this year, the Trump Administration withheld funding for Head Start β€” another program to help kids access preschool β€” and has threatened to eliminate it entirely.

19.11.2025 17:52 β€” πŸ‘ 26    πŸ” 3    πŸ’¬ 4    πŸ“Œ 0

The Ballmer Group has committed to funding up to 10,000 additional seats for the next 10 years. I am working with Sen. Claire Wilson and Rep. Steve Bergquist on legislation to create an account to accept the funds. The Ballmer Group’s incredible gift comes at an important moment.

19.11.2025 17:52 β€” πŸ‘ 12    πŸ” 1    πŸ’¬ 1    πŸ“Œ 0
Bob standing behind podium with mural in the background alongside Sen. Pedersen, Secretary Senn, and Sen. Wilson

Bob standing behind podium with mural in the background alongside Sen. Pedersen, Secretary Senn, and Sen. Wilson

Last week, I joined representatives from Ballmer Group to announce a new grant to dramatically expand Washington’s Early Childhood Education and Assistance Program (ECEAP), which provides access to high-quality preschool to low-income families...

19.11.2025 17:52 β€” πŸ‘ 78    πŸ” 12    πŸ’¬ 9    πŸ“Œ 2
Preview
DiCaprio plays fictional 'Bob Ferguson' in a new movie. I watched it with Gov. Bob Ferguson Gov. Bob Ferguson is a regular, modern politician. Fictional Bob Ferguson is a washed up, burned out violent revolutionary. Do they have anything in common?

My review of One Battle After Another and the fictional β€œBob Ferguson”:

Political violence is never the answer.
Nothing beats a strong connection with your kid.
I missed a costume opportunity this Halloween, but there's always next year.

19.11.2025 04:15 β€” πŸ‘ 76    πŸ” 9    πŸ’¬ 3    πŸ“Œ 0

Many other Native Americans also call Washington state home.

Native American people, culture, and teachings greatly contribute to the history, and the future, of Washington state. I'm pleased to celebrate that heritage this month, and throughout the year.

19.11.2025 01:09 β€” πŸ‘ 55    πŸ” 8    πŸ’¬ 1    πŸ“Œ 0
WHEREAS, Native Americans have inhabited the area now known as Washington state since time immemorial, and today, 29 federally recognized Indian Tribes, out-of-state Tribes with treaty reserved rights, and other Tribal communities reside in Washington; and

WHEREAS, members and descendants of Tribes around the United States and First Nations of Canada also reside in the state of Washington; and

WHEREAS, Native Americans help shape the social, political, environmental, and economic fabric of the state, while also enhancing freedom, prosperity and cultural diversity; and

WHEREAS, state law RCW 43.376, directs the governor and state agencies to establish government-to-government relationships with Tribes to enhance and formalize working relationships with the Tribes through collaboration and consultation; and

WHEREAS, state law RCW 28A.320.170, mandates the teaching of Tribal history, culture and government in common schools, which will contribute greatly to improving schools' history curriculum and enhance awareness for a better cultural understanding; and

WHEREAS, state law RCW 13.60.010, concerning the creation of an endangered missing person advisory designation for missing indigenous persons, allows law enforcement to broadcast messages to the public through radio, media and other outputs in order to help locate missing indigenous persons and address the epidemic of missing and murdered Indigenous Women and People; and

WHEREAS, the state of Washington has designated the Friday immediately following the fourth Thursday in November as a state legal and school holiday, known as Native American Heritage Day; and

WHEREAS, Executive Order 25-10 was signed on October 22, 2025, establishing a new foundation for Washington state's governmental relations with sovereign Tribal Nations;

Proclamation ends with declaration of Native American Heritage Month (Nov 2025) and Day (Nov 29, 2025), and is signed by Governor Bob Ferguson.

WHEREAS, Native Americans have inhabited the area now known as Washington state since time immemorial, and today, 29 federally recognized Indian Tribes, out-of-state Tribes with treaty reserved rights, and other Tribal communities reside in Washington; and WHEREAS, members and descendants of Tribes around the United States and First Nations of Canada also reside in the state of Washington; and WHEREAS, Native Americans help shape the social, political, environmental, and economic fabric of the state, while also enhancing freedom, prosperity and cultural diversity; and WHEREAS, state law RCW 43.376, directs the governor and state agencies to establish government-to-government relationships with Tribes to enhance and formalize working relationships with the Tribes through collaboration and consultation; and WHEREAS, state law RCW 28A.320.170, mandates the teaching of Tribal history, culture and government in common schools, which will contribute greatly to improving schools' history curriculum and enhance awareness for a better cultural understanding; and WHEREAS, state law RCW 13.60.010, concerning the creation of an endangered missing person advisory designation for missing indigenous persons, allows law enforcement to broadcast messages to the public through radio, media and other outputs in order to help locate missing indigenous persons and address the epidemic of missing and murdered Indigenous Women and People; and WHEREAS, the state of Washington has designated the Friday immediately following the fourth Thursday in November as a state legal and school holiday, known as Native American Heritage Day; and WHEREAS, Executive Order 25-10 was signed on October 22, 2025, establishing a new foundation for Washington state's governmental relations with sovereign Tribal Nations; Proclamation ends with declaration of Native American Heritage Month (Nov 2025) and Day (Nov 29, 2025), and is signed by Governor Bob Ferguson.

I’m proud to recognize Native American Heritage Month, leading up to Native American Heritage Day on November 29th.

29 federally recognized Tribes and out-of-state Tribes with treaty reserved rights have inhabited what is currently known as Washington state, since time immemorial.

19.11.2025 01:09 β€” πŸ‘ 175    πŸ” 22    πŸ’¬ 2    πŸ“Œ 1

We’re excited to share our city and our state with the world.

18.11.2025 23:23 β€” πŸ‘ 67    πŸ” 3    πŸ’¬ 1    πŸ“Œ 0

Seattle will be an excellent host for the World Cup. My team has been working hard with the city of Seattle and our partners to make sure we’re one of the best regions to host these games.

I look forward to working with Mayor Katie Wilson and her team.

18.11.2025 23:23 β€” πŸ‘ 240    πŸ” 32    πŸ’¬ 11    πŸ“Œ 1
Photo of Bob at press conference on Planned Parenthood fundingΒ 
Text on torn piece of paper: "states can make up for the Medicaid funding that Planned Parenthood has lost... OTHER STATES SHOULD FOLLOW WASHINGTON'S LEAD"
The New York Times Editorial Board Nov 12, 2025

Photo of Bob at press conference on Planned Parenthood fundingΒ  Text on torn piece of paper: "states can make up for the Medicaid funding that Planned Parenthood has lost... OTHER STATES SHOULD FOLLOW WASHINGTON'S LEAD" The New York Times Editorial Board Nov 12, 2025

I committed to funding Planned Parenthood in Washington state after a cruel attack on reproductive rights from the MAGA Congress and Donald Trump.

While we have a challenging budget, we are upholding our values and ensuring that women can access critical health care.

18.11.2025 21:05 β€” πŸ‘ 211    πŸ” 34    πŸ’¬ 9    πŸ“Œ 3

A few years after their arrival, Governor Elisha Ferry delivered the very first inaugural address in 1889. I’m proud to be the Governor of a place with a rich history of people coming together from diverse backgrounds and working hard to move our state forward.

12.11.2025 06:44 β€” πŸ‘ 82    πŸ” 9    πŸ’¬ 0    πŸ“Œ 1

Happy 136th birthday to Washington state. My ancestors homesteaded along the Skagit River. My great-great-great uncle James Watson and his wife Cecelia dedicated themselves to their work at the School for the Deaf in Vancouver when Washington was still a territory.

12.11.2025 06:44 β€” πŸ‘ 319    πŸ” 20    πŸ’¬ 10    πŸ“Œ 0
Video thumbnail

I’m from a family of veterans. My dad was a Navy veteran. Both my grandfathers and many of my uncles served. Our state is home to almost 500,000 veterans who exemplify the best of our state.

Thank you for your service.

11.11.2025 22:21 β€” πŸ‘ 199    πŸ” 24    πŸ’¬ 5    πŸ“Œ 0

The situation remains fluid, but our plan is to stay on schedule from here on out. People who receive SNAP benefits should check their cards. If there are funds available, they should use their cards as they normally would.

I'm grateful for the quick work and dedication of our team.

11.11.2025 02:29 β€” πŸ‘ 115    πŸ” 12    πŸ’¬ 2    πŸ“Œ 0

People here receive their benefits on the same date each month, between the 1st and the 20th. So far, we have delivered nearly $115 million, which is where we should be for this point in the month. We have approximately $48.5 million to send out between tomorrow and November 20th.

11.11.2025 02:29 β€” πŸ‘ 95    πŸ” 9    πŸ’¬ 3    πŸ“Œ 0

It is breathtaking that the Trump Administration has fought so hard to keep food from hungry families.

However, here in Washington state, we've caught up on the SNAP benefits that were delayed due to the shutdown. We're now delivering full benefits.

11.11.2025 02:29 β€” πŸ‘ 308    πŸ” 54    πŸ’¬ 12    πŸ“Œ 1
Post image

πŸ”₯ Happy 250th Birthday, Marines! πŸ”₯ We salute the United States Marine Corps for its legacy of courage and commitment. Thank you, Marines! #SemperFi #Marines250 #USMC #VeteransStrong #WDVASemperFi

10.11.2025 15:05 β€” πŸ‘ 24    πŸ” 4    πŸ’¬ 0    πŸ“Œ 0

As a kid, I attended his summer basketball camp, and being selected as the Player of the Day was a special thrill indeed. I’m grateful I had the honor of meeting him in person recently and thanking him for his service. My thoughts and prayers are with his family.

10.11.2025 01:44 β€” πŸ‘ 29    πŸ” 5    πŸ’¬ 1    πŸ“Œ 0

@governorferguson is following 20 prominent accounts