Will Misener's Avatar

Will Misener

@willmisener.bsky.social

Carnegie Postdoctoral Fellow at the Earth and Planets Lab in DC. PhD from UCLA EPSS. Researching exoplanet atmospheres πŸͺ. Also into baseball ⚾️ and trains πŸš‡. He/him

110 Followers  |  116 Following  |  19 Posts  |  Joined: 24.08.2023  |  2.2844

Latest posts by willmisener.bsky.social on Bluesky

An illustration of a young planet with a surrounding disk of dust and gas potentially forming moons. The planet, which appears dark red, is shown at lower right, circled by a cloudy, clumpy reddish orange-colored disk. The host star appears at upper left, and glows yellow, with its own reddish disk of debris. The disk that surrounds the planet takes up about half the illustration. The black background of space is speckled with stars. At the bottom of the illustration, graphics of molecules are listed in the following order: Acetylene, Carbon Dioxide, Ethane, Benzene, Hydrogen cyanide. The words Artist’s Concept appear at upper right.

An illustration of a young planet with a surrounding disk of dust and gas potentially forming moons. The planet, which appears dark red, is shown at lower right, circled by a cloudy, clumpy reddish orange-colored disk. The host star appears at upper left, and glows yellow, with its own reddish disk of debris. The disk that surrounds the planet takes up about half the illustration. The black background of space is speckled with stars. At the bottom of the illustration, graphics of molecules are listed in the following order: Acetylene, Carbon Dioxide, Ethane, Benzene, Hydrogen cyanide. The words Artist’s Concept appear at upper right.

#NASAWebb has found the first direct evidence of potential moon formation around a giant exoplanet. The discovery is shedding light on how such systems evolve and why moons could be potentially habitable worlds: https://bit.ly/46xGodN πŸ”­ πŸ§ͺ

29.09.2025 14:03 β€” πŸ‘ 87    πŸ” 32    πŸ’¬ 1    πŸ“Œ 9
Three planeteers look through a mockup of a Curiosity rover wheel

Three planeteers look through a mockup of a Curiosity rover wheel

The best part of my job is the people I get to work with πŸͺπŸ’™

21.09.2025 01:57 β€” πŸ‘ 11    πŸ” 4    πŸ’¬ 0    πŸ“Œ 0

Tyler Rogers?

19.09.2025 14:01 β€” πŸ‘ 0    πŸ” 0    πŸ’¬ 1    πŸ“Œ 0

The advertisement for Carnegie EPL's 2026 postdoctoral fellowship is out! aas.org/jobregister/... We are also happy to host external fellowships like NHFP, NSF, and 51 Peg b (the latter is due Oct 3rd, one month away!). Please feel free to reach out if you have questions. (1/2)

04.09.2025 00:26 β€” πŸ‘ 5    πŸ” 4    πŸ’¬ 1    πŸ“Œ 1

I am a professional astronomy researcher

07.08.2025 12:33 β€” πŸ‘ 0    πŸ” 0    πŸ’¬ 1    πŸ“Œ 0

yes

06.08.2025 21:22 β€” πŸ‘ 0    πŸ” 0    πŸ’¬ 1    πŸ“Œ 0

@bot.astronomy.blue signup

06.08.2025 21:14 β€” πŸ‘ 0    πŸ” 0    πŸ’¬ 1    πŸ“Œ 0
Video thumbnail

Don't miss our new NASA Science spending and economic impact resource at dashboards.planetary.org/nasa-science.html β€” see space science spending in every state and congressional district and custom reports for each region. A unique resource.

02.06.2025 11:44 β€” πŸ‘ 158    πŸ” 88    πŸ’¬ 7    πŸ“Œ 21

It looks like Rutgers is sorted into NJ-12 (I'm not local, but from a map it looks like the district boundary goes through campus)

02.06.2025 12:33 β€” πŸ‘ 1    πŸ” 0    πŸ’¬ 1    πŸ“Œ 0

Still obsessed with maps and waiting for the smallest opportunity to foist it on to others πŸš‡πŸ—ΊοΈ

26.03.2025 19:39 β€” πŸ‘ 9    πŸ” 1    πŸ’¬ 0    πŸ“Œ 0
Video thumbnail

Do #exoplanets evolve over time? β˜„οΈ

A thread 1/🧡

17.03.2025 22:39 β€” πŸ‘ 74    πŸ” 16    πŸ’¬ 3    πŸ“Œ 3

Lastly: this research, and in fact most of my PhD salary and tuition, was funded by federal NASA grants. I'm deeply grateful for the opportunity these funds have provided me to advance our knowledge of the universe. I hope dearly we will continue to give aspiring scientists that same chance. 10/10

27.02.2025 23:20 β€” πŸ‘ 4    πŸ” 2    πŸ’¬ 1    πŸ“Œ 0

I'm looking forward to thinking about what prospective compositions lead to what escape rates, and how this effect interacts with photoevaporation, the other mechanism thought to play a role in shaping sub-Neptunes. Thoughts welcome! 9/10

27.02.2025 23:20 β€” πŸ‘ 1    πŸ” 0    πŸ’¬ 1    πŸ“Œ 0
Three panel plot showing RCB radius, atmospheric mass, and mass loss rate as functions of time. Different color curves represent different values of gamma. High values of gamma lead to large escape rates. Therefore most of the initial atmosphere is stripped within 1 billion years. Conversely, if gamma is low, virtually no primordial atmosphere is lost. Adapted from Misener et al. (2025), Fig 4.

Three panel plot showing RCB radius, atmospheric mass, and mass loss rate as functions of time. Different color curves represent different values of gamma. High values of gamma lead to large escape rates. Therefore most of the initial atmosphere is stripped within 1 billion years. Conversely, if gamma is low, virtually no primordial atmosphere is lost. Adapted from Misener et al. (2025), Fig 4.

That means that sub-Neptunes will evolve differently depending on the exact upper atmosphere composition, even if they're always hydrogen-dominated. We find that the opacity ratios can make a difference between very little atmosphere being retained under core-powered mass loss, or nearly all. 8/10

27.02.2025 23:20 β€” πŸ‘ 0    πŸ” 0    πŸ’¬ 1    πŸ“Œ 0
A plot showing mass loss rate as a function of radiative-convective boundary (RCB) radius. Different colors show different values of the opacity ratio gamma. Mass loss rate increases as a function of radius for all gamma values. But lower values of gamma lead to escape rates lower by 10 orders of magnitude at small radii than do high values of gamma. The rates converge at larger radii. Adapted from Misener et al. (2025), Fig 3.

A plot showing mass loss rate as a function of radiative-convective boundary (RCB) radius. Different colors show different values of the opacity ratio gamma. Mass loss rate increases as a function of radius for all gamma values. But lower values of gamma lead to escape rates lower by 10 orders of magnitude at small radii than do high values of gamma. The rates converge at larger radii. Adapted from Misener et al. (2025), Fig 3.

The difference in mass loss rates for different opacity ratios is biggest when the atmospheres are most contracted, with up to a factor of 10^10 in mass loss rate separating cold upper atmospheres from hot ones! We provide tabulated rates in case you'd like to use these numbers yourself. 7/10

27.02.2025 23:20 β€” πŸ‘ 0    πŸ” 0    πŸ’¬ 1    πŸ“Œ 0
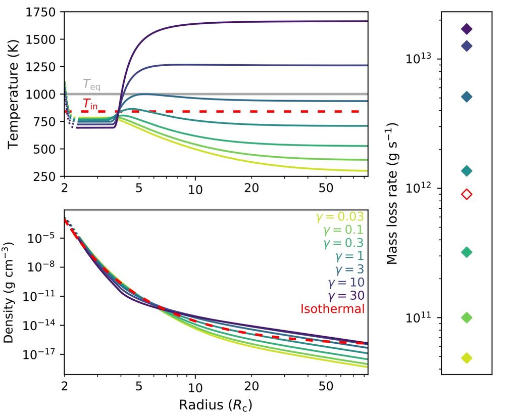
A three panel plot: on the left are temperature and density as functions of radius. Different colors represent different opacity ratios, quantified by gamma. On the right are mass loss rates corresponding to each profile. For small gamma, the upper atmospheres are cool, leading to low escape rates. For large gamma, the upper atmospheres are hot, leading to high escape rates. Adapted from Misener et al. (2025), Figure 2.

A three panel plot: on the left are temperature and density as functions of radius. Different colors represent different opacity ratios, quantified by gamma. On the right are mass loss rates corresponding to each profile. For small gamma, the upper atmospheres are cool, leading to low escape rates. For large gamma, the upper atmospheres are hot, leading to high escape rates. Adapted from Misener et al. (2025), Figure 2.

What we found is that the opacities have big implications for escape from sub-Neptunes: hotter temperature profiles lead to more mass loss! The most important reason why is that the density falls off more slowly if the temperatures are higher, leading to higher escape rates. 6/10

27.02.2025 23:20 β€” πŸ‘ 0    πŸ” 0    πŸ’¬ 1    πŸ“Œ 0

To account for this, we implemented core-powered mass loss in aiolos, a 1D hydrodynamic radiative transfer code, for the first time. This allowed us to calculate the escape rates and profiles self-consistently, and in doing so test the analytic approximations previous work had used. 5/10

27.02.2025 23:20 β€” πŸ‘ 0    πŸ” 0    πŸ’¬ 1    πŸ“Œ 0
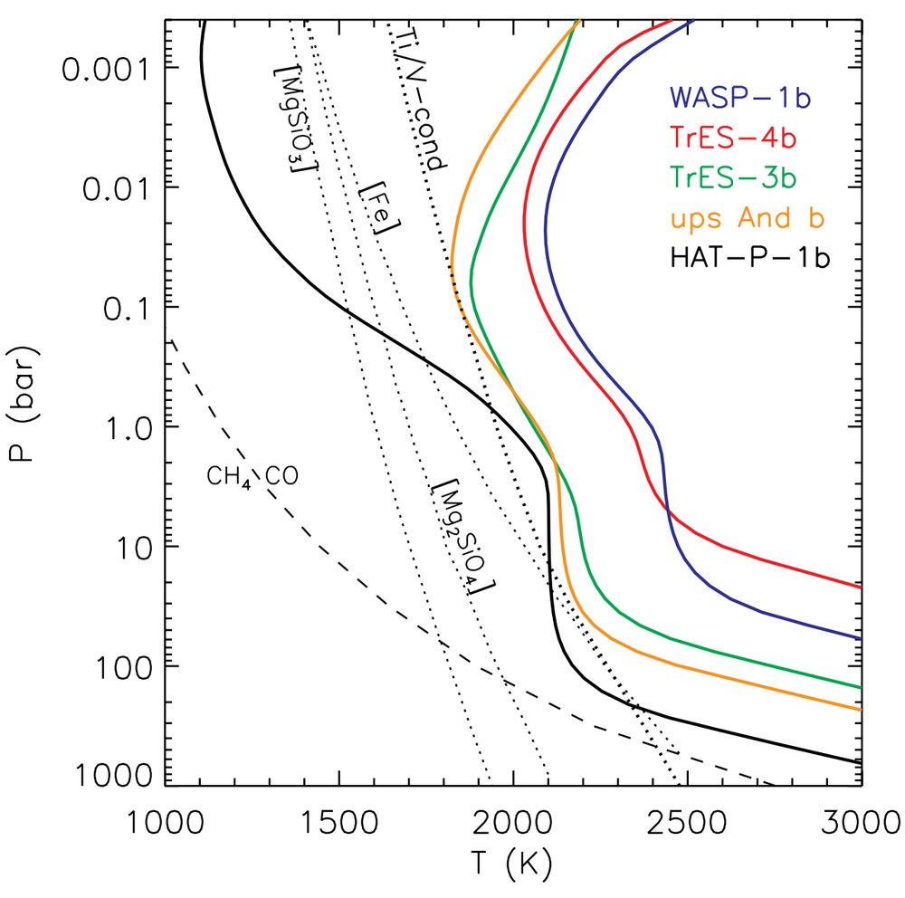
Model P-T profiles of hot Jupiters from Fortney et al. (2008), showing prominent thermal inversions due to the presence of efficient optical absorbers (i.e., high gamma values in the upper atmosphere).

Model P-T profiles of hot Jupiters from Fortney et al. (2008), showing prominent thermal inversions due to the presence of efficient optical absorbers (i.e., high gamma values in the upper atmosphere).

If the ratio (termed gamma) is near 1, then the atmosphere is roughly isothermal, but if it's not, you can get cool stratospheres or thermal inversions. This won't come as news to a lot of exoplaneteers, as we've long seen evidence for the phenomenon in atmospheric spectra! 4/10

27.02.2025 23:20 β€” πŸ‘ 0    πŸ” 0    πŸ’¬ 1    πŸ“Œ 0

But whether the outer atmosphere actually is isothermal depends on the actual opacities. More specifically, it depends on whether the atmosphere is more opaque to incident stellar light or to outgoing thermal infrared. These in turn depend on the actual composition of the atmosphere. 3/10

27.02.2025 23:20 β€” πŸ‘ 0    πŸ” 0    πŸ’¬ 1    πŸ“Œ 0
A two-panel plot showing the predictions of a core-powered mass loss model (left) against the observed planet demographics (right), showing good agreement. The mass loss rates in the models were calculated assuming an isothermal outer atmosphere. Adapted from Gupta+Schlichting 2019, Fig 2.

A two-panel plot showing the predictions of a core-powered mass loss model (left) against the observed planet demographics (right), showing good agreement. The mass loss rates in the models were calculated assuming an isothermal outer atmosphere. Adapted from Gupta+Schlichting 2019, Fig 2.

Core-powered mass loss, one of the mechanisms that can explain the radius valley separating the super-Earths and sub-Neptunes, has always been modeled using an analytic escape rate calculation, called a Parker wind, that assumed the outer atmosphere was isothermal at the equilibrium temperature 2/10

27.02.2025 23:20 β€” πŸ‘ 0    πŸ” 0    πŸ’¬ 1    πŸ“Œ 0
Blowin' in the Nonisothermal Wind: Core-powered Mass Loss with Hydrodynamic Radiative Transfer The mass loss rates of planets undergoing core-powered escape are usually modeled using an isothermal Parker-type wind at the equilibrium temperature, T<SUB>eq</SUB>. However, the upper atmospheres of...

Apparently, between the switch to Bluesky and my defense and move, I've neglected to post about the last paper of my PhD. Now that it's been published in ApJ, here's a thread on how upper atmospheric opacities can alter escape rates and whether sub-Neptunes can retain primordial H/He πŸ”­πŸ§ͺ 1/10

27.02.2025 23:20 β€” πŸ‘ 9    πŸ” 1    πŸ’¬ 1    πŸ“Œ 0
The Carnegie Science sign on a snowy campus

The Carnegie Science sign on a snowy campus

Calling all undergrads! Just one week left to apply for Carnegie’s 2025 summer internship and work with us on all kinds of interdisciplinary projects in Earth & planetary science! Campus won’t look quite like this in June, but it’ll still be a magical experience ✨ carnegiescience.edu/about/workin...

24.01.2025 14:08 β€” πŸ‘ 9    πŸ” 7    πŸ’¬ 0    πŸ“Œ 0
Selfie with a AAS logo backdrop at AAS 243 in New Orleans

Selfie with a AAS logo backdrop at AAS 243 in New Orleans

Excited for my first-ever (!) AAS this week. Look out for my thesis talk, conveniently on Monday morning to ease you back into conferencing:
133.05D β€œCoupled chemistry and structure of sub-Neptune atmospheres: a window into the interior”
Mon, Jan 8 10:40-11:00am
Room R04 #AAS243

07.01.2024 23:18 β€” πŸ‘ 12    πŸ” 0    πŸ’¬ 0    πŸ“Œ 0

Makes sense! It seems like the numbers might get really big quickly if there are a lot of false positives though (which I suppose doesn't really matter except for aesthetics lol).

01.10.2023 05:58 β€” πŸ‘ 0    πŸ” 0    πŸ’¬ 0    πŸ“Œ 0

What's been confusing/bothering me is, how come when the planets get confirmed, they stay as TOIs and don't become TESS-1 b or whatever, like how KOI-157.01 -> Kepler-11 c? Was there a reason for this? I guess it's fewer numbers to keep track of...

28.09.2023 22:52 β€” πŸ‘ 2    πŸ” 0    πŸ’¬ 1    πŸ“Œ 0

@willmisener is following 20 prominent accounts