Podcast No. 3 Jobs and Occupation | politics and wealth reproduction
In the third episode of podcast series, Benjamin Ashworth and Stephen Ramsay (University of Strathclyde) discuss politicians' occupational backgrounds in Latin America and Europe, exploring which professions they come from and how career paths differ across regions. wealthpolicies.eu/podcast-no-3...
30.01.2026 14:41 โ ๐ 8 ๐ 4 ๐ฌ 0 ๐ 0
1/6 ๐ฐ๐ง Research Digest October 2025 - Left parties and working class support - Tax base inequality in ๐บ๐ธ - Revolving door in ๐ฏ๐ต - Tax Compliance in ๐จ๐ฑ - framing budget cuts in ๐ฉ๐ฐ
06.11.2025 17:36 โ ๐ 2 ๐ 2 ๐ฌ 1 ๐ 0
6/6 ๐งตIn @electoralstudies.bsky.social, @joshgoddard98.bsky.social studies influence of homeownerhip on voting behavior. Housing & election data from 14 countries. Results show homeowners are increasingly more likely to vote for center-right parties & renters for radical left parties. doi.org/qh8v
14.12.2025 10:36 โ ๐ 4 ๐ 3 ๐ฌ 0 ๐ 0
5/6 ๐งต In @ejprjournal.bsky.social Pitsch & Wenzelburger estimate MP response to lobbying using randomized response technique to elicit honest answers by ensuring anonymity. Anonymity ensured by lumping answers with yes answers to other questions. Find small response to lobbying doi.org/qh8r
14.12.2025 10:36 โ ๐ 3 ๐ 1 ๐ฌ 1 ๐ 0
1/6 ๐ฐ๐ง Research Digest November 2025 - Politician background and biased perceptions in ๐จ๐ญ - Redistribution and Deservingness between places/people ๐ณ๐ด - Ideological capture in the ๐บ๐ธ - Honest MP responses to lobbying in ๐ฉ๐ช - Homeownership & voting behavior
14.12.2025 10:36 โ ๐ 3 ๐ 3 ๐ฌ 1 ๐ 0
Events โ Inequality and Distributive Politics
Last week we welcomed @heikekluever.bsky.social to talk about "Who Becomes a Lobbyist?" โ a comparative look at career pathways, networks, and the role of institutional differences that shape political influence in Germany & the U.S. Thanks to everyone for the lively Q&A!
inq-dp.eu/index.php/ev...
26.01.2026 15:47 โ ๐ 6 ๐ 4 ๐ฌ 0 ๐ 0
Money, Power, and Politics: The Transparency Problem in Policy-Making | politics and wealth reproduction
Politicians' financial interests shape policy but transparency varies wildly. Our blog post compares disclosure rules & lobbying regulations in DE, UK, BR & SA. Who's hiding what - where's democratic accountability? ๐ wealthpolicies.eu/money-power-...
16.01.2026 15:24 โ ๐ 1 ๐ 2 ๐ฌ 0 ๐ 0
How Politiciansโ Careers Shape Public Policy | politics and wealth reproduction
Do politicians' backgrounds shape policy? Prof Pimenta & Dr Lima underline lawmakers come from privileged backgrounds and this bias influence which policies get passed. In their PoWER research, they explore how policy-makers' career influence income concentration wealthpolicies.eu/how-politici...
16.01.2026 13:42 โ ๐ 2 ๐ 3 ๐ฌ 0 ๐ 0
Blog 4: The Great Divide Why Wealth, Not Income, Defines the Economic Chasm | politics and wealth reproduction
In our new blogpost, Prof Vimal Ranchhod and Dr @arindamjana.bsky.social
(University of Cape Town) explain why wealth inequality is much more persistent and harder to measure compared to income inequalitity: wealthpolicies.eu/blog-4-the-g...
15.01.2026 12:36 โ ๐ 4 ๐ 3 ๐ฌ 0 ๐ 0
Money, money, money โ Regiert Geld die Welt?
YouTube video by VolkswagenStiftung
Our Principal Investigator, Prof @evawegner.bsky.social introduces and discusses the signifance of the PoWER project - reproduction of wealth through politics and policies. Possible to achieve democracy in the age of heightened social divides and wealth inequality? www.youtube.com/live/qe57FPi...
27.10.2025 15:07 โ ๐ 2 ๐ 1 ๐ฌ 0 ๐ 0
Book Review: The Triumph of Injustice: How the Rich Dodge Taxes and How to Make Them Pay | politics and wealth reproduction
Dr Kuran reviewed *The Triumph of Injustice* (Saez & Zucman, 2019) for the PoWER blog. The book presents an excellent empirical analysis of tax inequality in the USA. wealthpolicies.eu/book-review-...
27.10.2025 15:20 โ ๐ 4 ๐ 2 ๐ฌ 0 ๐ 0
Kickoff done! โMarburger Stadtgesprรคchโ & Future of Democracy (Mon, 20 Oct). @leaelsaesser.bsky.social on working-class political careers, the role of trade unions, and contrasts with uni graduates. Thanks also to our engaged audience for a great discussion! More: tinyurl.com/e3pyhstd
24.10.2025 10:28 โ ๐ 7 ๐ 4 ๐ฌ 1 ๐ 0
Thanks to Mayor Dr. Thomas Spies for hosting, to Prof. Dr. Susanne Buckley-Zistel & Prof. @mqpellicer.bsky.social fro the @zfk-mr.bsky.social for opening remarks, and Stรฉphane Voell / @st3phm4rb.bsky.social for the great pictures.
24.10.2025 10:28 โ ๐ 3 ๐ 2 ๐ฌ 0 ๐ 0
1/6 ๐ฐ๐ง Research Digest March 2025 - lockdowns and support for Trump in the US - left parties and redistribution - electoral role of candidate education - tax preferences in Latin America - City councillorsโ roll-call voting in Chicago and Toronto
03.04.2025 13:59 โ ๐ 4 ๐ 1 ๐ฌ 1 ๐ 0
2/6 ๐งตIn @cpsjournal.bsky.social, @alicexu.bsky.social & Iversen ask if economic, rather than cultural factors, drive support for right-wing populists. Staggered DiD in the US & covid lockdowns. In states with less educated people (cannot work from home) lockdowns increase Trump support doi.org/pft7
03.04.2025 13:59 โ ๐ 4 ๐ 2 ๐ฌ 1 ๐ 0
3/6 ๐งต In EJPR, @alexanderhorn.bsky.social @klueserthan.bsky.social & Martin Haselmayer study the priorities of left parties in 12 OECD countries. While they find no evidence for a crowding out of redistribution generally, they show that some Social Democrats abandoned economic equality.doi.org/pft9
03.04.2025 13:59 โ ๐ 2 ๐ 1 ๐ฌ 1 ๐ 0
4/6 ๐งต In @thejop.bsky.socialโฌ @elizabethsim0n.bsky.social & @turnbulldugarte.com do a meta-analysis of role of candidate education in conjoint experiments. More educated candidates preferred by all, but more so by more educated respondents, suggesting a possible in-group bias https://doi.org/pft8
03.04.2025 13:59 โ ๐ 5 ๐ 3 ๐ฌ 1 ๐ 0
5/6 ๐งต In @cpsjournal.bsky.social Heilbrun studies tax preferences in the Latinobarometro. High perceived inequality associated with a preference towards a narrower tax base. Suggests a reason why revenue from direct taxes in LA is low https://doi.org/pfvd
03.04.2025 13:59 โ ๐ 1 ๐ 1 ๐ฌ 1 ๐ 0
6/6 ๐งตIn @thejop.bsky.social @bigcitypolitics.bsky.social & Armstrong study elite conflict using councilors' roll-call votes. Original dataset over many terms in Chicago & Toronto. Against a pluralist expectation, councilorsโ conflict is low-dimensional but durable across terms doi.org/pfvb
03.04.2025 13:59 โ ๐ 2 ๐ 2 ๐ฌ 0 ๐ 0
Why Class Still Matters โ Inequality and Distributive Politics
New Blog Post! ๐ Oliver Platt writes about the concept of class and its importance for regional inequality and voting behavior. To illustrate, the post includes interactive maps and data plots ๐บ๏ธ๐ Read more: inq-dp.eu/index.php/20...
08.04.2025 08:23 โ ๐ 4 ๐ 1 ๐ฌ 0 ๐ 0
Maps upgrade! ๐บ๏ธ We expanded our maps of inequality page to include additional data on the spatial distribution of election results, rent prices, and education levels across Marburg. Explore: inq-dp.eu/index.php/ma...
14.04.2025 11:23 โ ๐ 8 ๐ 3 ๐ฌ 0 ๐ 0
1/6 ๐ฐ๐ง IDP Research Digest January 2025 - Political responsiveness in ๐ฉ๐ฐ & ๐ณ๐ฑ - Populist parties & congruence in ๐ฉ๐ช๐ณ๐ฑ๐ฎ๐น๐ธ๐ช - Effect of income on turnout in ๐ณ๐ด - Returns to office in ๐ฉ๐ฐ - Electoral effects of coal phase-outs in ๐ฉ๐ช
13.02.2025 14:18 โ ๐ 4 ๐ 2 ๐ฌ 1 ๐ 0
2/6 ๐งตIn @jeppjournal.bsky.social, @annerasmussen.bsky.social & @simonotjes.bsky.social ask: are politicians more responsive to interest groups or public opinion? Vignette experiments in ๐ฉ๐ฐ & ๐ณ๐ฑ with politicians. Effect of public opinion positive, stronger, and more general doi.org/n6sf
13.02.2025 14:18 โ ๐ 4 ๐ 1 ๐ฌ 1 ๐ 0
3/6 ๐งต In @electoralstudies.bsky.social, Zhirnov, @drphilphil.bsky.social, and co-authors study congruence b/w populist parties & their voters. VAA data from ๐ฉ๐ช๐ณ๐ฑ๐ฎ๐น๐ธ๐ช. Show populist parties are best choice for their voters, but congruence is not higher compared to other parties. doi.org/n6sd
13.02.2025 14:18 โ ๐ 3 ๐ 1 ๐ฌ 1 ๐ 0
4/6 ๐งต In @bjpols.bsky.social, Geys & Sรธrensen compare current & former lottery winners in the whole ๐ณ๐ด to estimate the effect of income on turnout. They find a small effect when gains are close to election date https://doi.org/n6sh
13.02.2025 14:18 โ ๐ 3 ๐ 1 ๐ฌ 1 ๐ 0
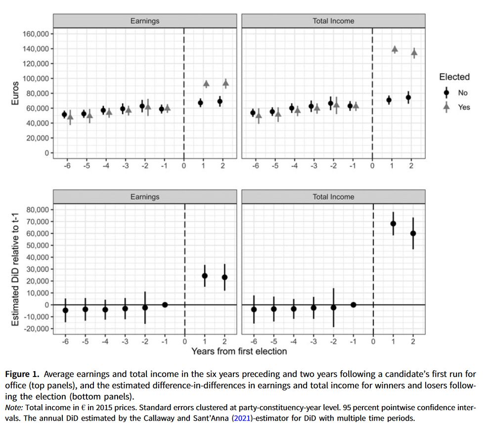
5/6 ๐งต In @psrm.bsky.social, Dahlgaard, @fkjoeller.bsky.social and Kristensen research whether political careers are economically attractive. Using administrative data they find that based on total income all ๐ฉ๐ฐ MPs experience short-term economic gains during their first term. https://doi.org/n6sg
13.02.2025 14:18 โ ๐ 3 ๐ 1 ๐ฌ 1 ๐ 0
6/6 ๐งตIN EJPR, @slstutzmann.bsky.social studies electoral effects of coal phase-outs in ๐ฉ๐ช with admin data & DID design. Punishment of issue owners (left parties) and abstention increase. Not caused by real economic decline but perceived deprivation & loss of status. https://doi.org/n6sj
13.02.2025 14:18 โ ๐ 5 ๐ 3 ๐ฌ 0 ๐ 0
Blog โ Inequality and Distributive Politics
New blog post series! ๐ As the federal elections in Germany approach, weโre excited to share a series of three blog posts on topics related to the election. All three posts are written by students from one of Eva Wegnerโs courses. Read more: inq-dp.eu/index.php/bl...
21.02.2025 17:13 โ ๐ 4 ๐ 2 ๐ฌ 0 ๐ 0
PoWER - international research project on Politicians, Policies, and Wealth Reproduction https://wealthpolicies.eu/
Funded by @volkswagenstiftung.de
Partners @unimarburg.bsky.social, @unistrathclyde.bsky.social, @fgvoficial.bsky.social, @saldru.bsky.social
Notรญcias sobre รndices, Cursos, Educaรงรฃo, Vestibular, Graduaรงรฃo, MBA, Mestrado, Doutorado. Conheรงa as demais pรกginas e perfis da FGV: http://linktr.ee/fgv
Political scientist @uni_mainz
Anthropologist, Coordinator Center for Conflict Studies (University of Marburg, DE), South Caucasus
Postdoc Researcher, Political Economy @power-proj.bsky.social @unimarburg.bsky.social
Southern Africa Labour & Development Research Unit - applied empirical research & capacity building in inequality, labour markets, human capital & social policy
https://saldru.uct.ac.za/
University of Cape Town
We are a research data service at the University of Cape Town dedicated to giving open access to data from African countries.
www.datafirst.uct.ac.za
a washermanโs dog, not from home nor from a pier, roams the wilderness.
arindamjana.com
Lifewriting Podcast - Exec Producer #HorrorNoire: A History of Black Horror, Writer: Twilight Zone. UCLA Lecturer. Vanity Fair. Author: American Book Award #BLM #blacksky She/Her - https://linktr.ee/tananarivedue
Professor of economics and head of the research group "Sustainable Use of Natural Resources". Researching adaptation to climate change, resource governance and aspects of human behavior related to sustainable development. bjoernvollan.wordpress.com
Professor, Harris School of Public Policy, Director, Stone Center for Research on Wealth Inequality and Mobility, University of Chicago
Science Communication @UMR, trained science/journalist, views are my own.
Professor of Political Science at Stanford | Exploring money in politics, campaigns and elections, ideology, the courts, and inequality | Author of The Judicial Tug of War cup.org/2LEoMrs | https://data4democracy.substack.com
I do research on the role of migration in politics. Associate Professor at UCL. Previously Texas A&M, Immigration Policy Lab and University of Mannheim. moritz-marbach.com
PhD, Sociology. Senior Consultant at University of Copenhagen, Analytics and BI.
Avid gamer and metalhead.
Political theorist. PhD, Sciences Po Paris, 2025. PhD candidate at the University of Chicago. Incoming Junior Research Fellow (2026) at Christ's College, Cambridge. https://niklasplaetzer.com/
I'm a political scientist in @mccourtschool.bsky.social. I study trust in institutions and media effects on the public.
Web page: https://www.jonathanmladd.com/
Google Scholar: https://scholar.google.com/citations?user=J6tt69QAAAAJ&hl
Apologies for typos.
Politics Prof, NYU; Director @NYUJordanCenter for Adv Study of #Russia; Co-Director NYU Center for Social Media and Politics @CSMaP_NYU (http://csmapnyu.org); long suffering NY Mets fan; @j_a_tucker on other platforms; he/him
Political scientist at Johns Hopkins, author of Uncivil Agreement and co-author of Radical American Partisanship
Political science professor at UPenn, studying migration and forced displacement, human trafficking, and poor governance. Co-director of the Penn Development Research Initiative (PDRI-DevLab). Website: https://guygrossman.com